记录Variational Inference、Expectation Maximization、Markov Chain Monte Carlo等用于概率机器学习中未知变量推断的算法的原理、推导。
很多内容和推导、图片来自悉尼科技大学徐亦达教授的在线课程及其讲义,徐老师讲非参贝叶斯的一系列视频非常好,可以直接在b站或者优酷搜索他的名字找到视频。
徐老师的课程讲义地址:roboticcam/machine-learning-notes,如果不额外说明,一些截图和代码均来自徐老师的讲义。
其他一些内容来自各种书或者tutorial,引用出处我会在文中说明。

Bayesian Inference
- 在贝叶斯推断中,需要区别可观察量(数据)和未知变量(可能是统计参数、缺失数据、隐变量)
- 统计参数在贝叶斯框架中被看成是随机变量,我们需要对模型的参数进行概率估计,而在频率学派的框架下,参数是确定的非随机的量,主要针对数据做概率估计
- 在频率学派框架中只关注似然$p(x|\theta)$,而贝叶斯学派认为应将参数$\theta$作为变量,在观察到数据之前,对参数做出先验假设$p(\theta)$
- 后验正比与似然乘以先验,代表观察到数据后我们对参数先验调整,得到的参数概率分布
- 在贝叶斯框架中我们更关注精确度,它是方差的倒数,例如在正态分布的后验中,精确度是先验和数据的精确度之和
- 后验实际上是在最大似然估计和先验之间权衡
- 当数据非常多时,后验渐渐不再依赖于先验
- 很多时候我们并没有先验知识,这时一般采用平坦的、分散的分布作为先验分布,例如范围很大的均匀分布,或者方差很大的正态分布
- 有时我们并不需要知道整个后验分布,而仅仅做点估计或者区间估计
Markov Chain Monte Carlo
- MCMC,前一个MC代表如何采样,使得采样点满足分布,后一个MC代表用随机采样来估计分布的参数
- 最大似然估计和EM算法都是点估计,而MCMC是通过采样找出完整的后验分布
- 蒙特卡洛单纯做抽样,是已知分布,但无法直接求得某些函数在此分布上的统计量,因此间接的通过对此分布随机抽样产生样本,通过样本计算统计量
- 蒙特卡洛做推断,则是分布未知,已知样本(数据),通过样本反推分布(?待确定)
¶采样
- 直接通过分布函数很难(或者分布未知)推出一些统计量,我们可以通过产生一系列符合这个分布的样本,通过样本统计计算统计量,即随机采样的方式获得统计量
- 在参数推断中,我们可以随机采样出一系列满足参数的后验分布的样本,从而依靠样本估计参数
- 最简单的采样:从累计分布函数的逆采样,也就是先从[0,1]做一个均匀分布的采样,然后这个值作为cdf函数的输出值,采样值即cdf的输入值:
$$
u = U(0,1) \
x= cdf ^{-1} (u) \
$$
¶拒绝采样
- 但是不是所有分布的累积分布函数取逆都容易得到。另外一种采样方法叫做rejection sampling
- 对于一个概率密度函数,我们无法直接采样,那么就做一个处处大于概率密度函数的分布,包围着这个函数,如图中红色线包住了绿色线
![i0oFwd.jpg]()
- 我们计算出每个点到红线和绿线的距离,将其分为接受和拒绝区域,这样,我们先从红色分布采样得到样本,然后做一个[0,1]均匀分布采样,如果落在接收区域则接收该采样,否则拒接
- 显然红色分布处处比绿色大是不可能的,积分不为1,因此需要按比例放缩一下,乘以一个系数M,算法如下:
1 | i=0 |
- rejection sampling效率太低,因为若红色分布选择不好,不能紧紧包住绿色分布时,接受率太低,大部分采样会被拒绝。
¶适应性拒绝采样
- 当分布是log-concave的时候,我们能够有效的构造绿色分布的包络,也就是红色分布比较贴近绿色分布,接受率较高
- 基本思想是,将要采样的绿色分布分为k个区域,每个区域最左边的点作为起始点,如果在每个区域能够用绿色分布在起始点的切线来包络的话,我们就可以用这个k个区域上的切线来组成红色区域
- 但是这要求在各个区域内原始分布是凹的,但是例如高斯分布的概率密度函数并不是凹函数,但是高斯分布取对数之后是凹的,也就是所谓log-concave,因此我们先取对数,作出切线,然后计算指数还原到原分布,得到原分布的k段切线。
![i0oEFI.jpg]()
¶重要性采样
- 上面提到的采样算法是从简单分布(提议分布)采样,通过简单分布和复杂分布之间的关系计算每个样本的接受率,拒绝掉一些样本,使得剩下的样本满足复杂分布
- importance sampling的思路是对样本点加权而不是简单粗暴的拒绝或者接收,这样可以充分利用每个样本点。
- 例如我们希望通过采样得到某个分布的期望
$$
E_{p(x)}(f(x)) = \int x f(x)p(x)dx \
E{p(x)}(f(x)) = \int x f(x) \frac{p(x)}{q(x)} q(x) dx \
E{p(x)}(f(x)) = \int _x g(x)q(x)dx \
$$ - p(x)难以采样,我们就转化为从q(x)采样。其中$\frac{p(x)}{q(x)}$就是importance weight。
- 这样我们消除了红色分布必须包络住绿色分布的限制,只要计算出重要性权重,对采样出的样本点进行重要性加权,就可以得到绿色分布下的一些统计量。
¶马尔可夫蒙特卡洛和Metropolis-Hasting算法
- mcmc是另一种采样方法,他将样本序列看作马尔可夫链,通过mcmc采样出的样本之间不是独立的,下一个样本的概率分布与上一个样本有关
- 不同于普通采样的接收或者拒绝的概念,在每采样一个样本之后,mcmc会计算在当前样本的前提下,下一个样本的位置的概率分布,也就是关键的转移概率。
- 我们抽样一个样本之后,按照转移概率我们抽下一个,得到一系列样本,符合给定的分布,显然这个转移概率是需要和给定分布相关的。我们利用马尔可夫链的收敛性,希望收敛之后的分布$\pi$就是给定分布,假定转移概率为$k(x^{‘} | x)$,从样本$x$转移到样本$x^{’}$。
- 在马尔可夫链中,有如下Chapman-Kologronvo等式:
$$
\pi _t (x^{‘}) = \int _x \pi _{t-1}(x) k(x^{’} | x) dx
$$ - 这个公式的意义显而易见。我们希望得到马氏链收敛,收敛之后无论怎么转移,得到的一系列样本都满足同一给定分布,则要求:
$$
\pi _t (x) = \pi _{t-1} (x)
$$ - 实际使用时我们依赖于另一个重要的公式,叫做细致平稳条件,the detailed balance:
$$
\pi (x) k(x^{‘} | x) = \pi (x^{’}) k(x | x^{'})
$$ - 由detailed balance可以推出Chapman-Kologronvo等式,反之不一定。
- 当满足细致平稳条件时,马氏链是收敛的
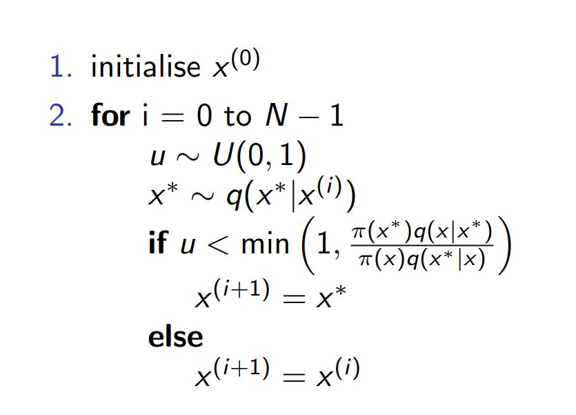
- 在LDA的博客里介绍了mh和gibbs,Metropolis-Hasting就是基本mcmc将一边的接受率提到1的结果:
![i0okTA.jpg]()
- 在mh中,我们没有改变转移矩阵来适应给定分布,而是用给定分布来修正转移矩阵,因此,转移矩阵是我们自己设计的。一般将转移矩阵(提议分布)设计为以当前状态为中心的高斯分布,对于这个高斯分布,当方差很小时,概率集中在本次采样点附近,那么转移到下次采样时大概率位置不会变动很多,接受率高(因为本次采样点就是通过了接收得到的,大概率是处于高接受率的位置),但这会造成随机游走缓慢;如果方差很大,到处走,接受率就会降低。
- 尽管一边的样本接受率提到了1,但总有一边低于1,如果被拒绝,则mcmc会原地重复采样一次,再继续。
- 而gibbs则将两边的接受率都提到了1,可以看出,gibbs是mh的一种特例。mh没有修改转移概率,而是添加了接受率,将原先的转移概率和需要采样的分布联系起来。但是显然如果我们自己选择转移概率,且使得转移概率和原始分布的联系越密切,那效果越好,gibbs就是这样的思路。
¶Hybrid Metropolis-Hasting
- 待补充
¶吉布斯采样
- 吉布斯采样的一个动机:对于多个参数的联合分布,很难直接采样,但是如果固定其他参数作为条件,仅仅对一个参数的条件分布做采样,这时采样会简单许多,且可以证明收敛之后这样采样出来的样本满足联合分布
- 先看直觉上为啥吉布斯采样通过条件概率迭代抽样的过程中不改变联合概率分布。首先在排除第i个参数计算条件概率时,这被排除的n-1个变量的边缘分布与真实联合概率分布针对这n-1个变量的边缘分布是一样的,因为它们的值没有改变;条件概率依据的条件相比真实分布是不变的,那条件概率分布也是不变的。边缘分布和条件概率分布都是不变(真实)的,那相乘得到的联合分布自然也是不变的,因此每一步迭代里都是按照真实分布采样且迭代不会改变这个分布。
- 吉本斯采样是类似变分推断的coordinate descent方法,一次更新样本的一个分量,依据的转移概率是在给定其他分量情况下当前更新分量所在维度的条件概率:
![i0oVYt.jpg]()
- 工业上吉布斯采样用的很广,因为它快,事实上这样一种迭代算法不能并行,但是利用collapsed gibbs sampling可以并行化迭代。其原理是将几个分量看成一个整体,collapse成一个分量,当其他分量用这组分量更新时,看成独立的(存在疑问,另一种关于collapse的说法是忽略一些条件变量,基本的gibbs采样就是collapsed gibbs sampling,而这种几个分量看成一个整体的做法是blocked gibbs sampling):
1 | u~p(u|x,y,z) |
- 上面关于x,y,z的三个条件概率可以并行计算。
- 现在我们证明gibbs是mh的一种特例且接受率为1,先看看mh的接受率
$$
\alpha = min(1,\frac{\pi (x^{‘}),q(x| x^{’})}{\pi (x) q(x^{'} | x)})
$$ - 在gibbs中
$$
q(x|x^{‘})=\pi (x_i | x_{¬i}^{’}) \
q(x^{‘}|x)=\pi (x_i ^{’} | x_{¬i}) \
$$ - 而且实际上从$x_{¬i}$到$x_{¬i}^{‘}$,只有第i个分量变了,除了第i个分量之外的其他分量没有改变,因此
$$
x_{¬i}^{’}=x_{¬i}
$$ - 接下来看看gibbs的接受率
$$
\alpha {gibbs} = min(1,\frac{\pi (x^{'}) \pi (x_i | x{¬i}^{‘})}{\pi (x) (x_i ^{’} | x_{¬i})}) \
$$
$$
= min(1,\frac{\pi (x^{‘}) \pi (x_i | x_{¬i})}{\pi (x) (x_i ^{’} | x_{¬i})}) \
$$
$$
= min(1,\frac{\pi (x^{‘} | x_{¬i}^{’}) \pi( x_{¬i}^{‘}) \pi (x_i | x_{¬i})}{\pi (x_i | x_{¬i}) \pi( x_{¬i}) (x_i ^{’} | x_{¬i})}) \
$$
$$
= min(1,\frac{\pi (x^{‘} | x_{¬i}) \pi( x_{¬i}) \pi (x_i | x_{¬i})}{\pi (x_i | x_{¬i}) \pi( x_{¬i}) (x_i ^{’} | x_{¬i})}) \
$$
$$
= min(1,1) \
$$
$$
= 1 \
$$
Expectation Maximization
¶更新
- 看毛子的deep|bayes2018,提到了用随机梯度下降做EM的M步骤,因为是随机的,所以E步骤只针对一部分数据进行,开销小,可以实现大规模数据上的隐变量模型推断,当时应用在word2vec上,为每一个词添加了一个定性隐变量,指示该词多个意思当中的一个,以期解决歧义问题,甚至还可以用中国餐馆过程将词意个数参数化。有时间再详细看。
¶公式
- 对于简单的分布,我们想要做参数推断,只需要做最大似然估计,先求对数似然:
$$
\theta=\mathop{argmax}{\theta} L(X | \theta) \
=\mathop{argmax}{\theta} \log \prod p(x_i | \theta) \
=\mathop{argmax}_{\theta} \sum \log p(x_i | \theta) \
$$
- 之后对这个对数似然求导计算极值即可,但是对于复杂的分布,可能并不方便求导
- 这时我们可以用EM算法迭代求解。EM算法考虑了概率生成模型当中的隐变量,并为其分配概率,每次迭代更新其概率分布并同时更新参数$\theta$,可以证明,每一次迭代之后得到的$\theta$都会使对数似然增加。
- 每一次迭代分为两个部分,E和M,也就求期望和最大化
- 求期望,是求$\log p(x,z|\theta)$在分布$p(z|x,\theta ^{(t)})$上的期望,其中$\theta ^{(t)}$是第t次迭代时计算出的参数
- 最大化,也就是求使这个期望最大的$\theta$,作为本次参数迭代更新的结果
- 合起来就得到EM算法的公式:
$$
\theta ^{(t+1)} = \mathop{argmax} _{\theta} \int p(z|x,\theta ^{(t)}) \log p(x,z|\theta) dz
$$
¶为何有效
- 也就是证明,每次迭代后最大似然会增加
- 要证明:
$$
\log p(x|\theta ^{(t+1)}) \geq \log p(x|\theta ^{(t)})
$$ - 先改写对数似然
$$
\log p(x|\theta) = \log p(x,z|\theta) - \log p(z|x,\theta) \
$$ - 两边对分布$p(z|x,\theta ^{(t)})$求期望,注意到等式左边与z无关,因此求期望之后不变:
$$
\log p(x|\theta) = \int _z \log p(x,z|\theta) p(z|x,\theta ^{(t)}) dz - \int _z \log p(z|x,\theta) p(z|x,\theta ^{(t)}) dz \
=Q(\theta,\theta ^{(t)})-H(\theta,\theta ^{(t)}) \
$$ - 其中Q部分就是EM算法中的E部分,注意在这里$\theta$是变量,$\theta ^{(t)}$是常量
- 迭代之后,由于EM算法中M部分作用,Q部分肯定变大了(大于等于),那么使Q部分变大的这个迭代之后新的$\theta$,代入H部分,H部分会怎么变化呢?
- 我们先计算,假如H部分的$\theta$不变,直接用上一次的$\theta ^{(t)}$带入,即$H(\theta ^{(t)},\theta ^{(t)})$
$$
H(\theta ^{(t)},\theta ^{(t)})-H(\theta,\theta ^{(t)})= \
$$
$$
\int _z \log p(z|x,\theta ^{(t)}) p(z|x,\theta ^{(t)}) dz - \int _z \log p(z|x,\theta) p(z|x,\theta ^{(t)}) dz \
$$
$$
= \int _z \log (\frac {p(z|x,\theta ^{(t)})} {p(z|x,\theta)} ) p(z|x,\theta ^{(t)}) dz \
$$
$$
= - \int _z \log (\frac {p(z|x,\theta)} {p(z|x,\theta ^{(t)})} ) p(z|x,\theta ^{(t)}) dz \
$$
$$
\geq - \log \int _z (\frac {p(z|x,\theta)} {p(z|x,\theta ^{(t)})} ) p(z|x,\theta ^{(t)}) dz \
$$
$$
= - \log 1 \
$$
$$
= 0 \
$$ - 其中那个不等式是利用了Jensen不等式。也就是说,直接用上一次的$\theta ^{(t)}$作为$\theta$代入H,就是H的最大值!那么无论新的由argmax Q部分得到的$\theta ^{(t+1)}$是多少,带入 H,H部分都会减小(小于等于)!被减数变大,减数变小,那么得到的结果就是对数似然肯定变大,也就证明了EM算法的有效性
¶从ELBO的角度理解
- 我们还可以从ELBO(Evidence Lower Bound)的角度推出EM算法的公式
- 在之前改写对数似然时我们得到了两个式子$p(x,z|\theta)$和$p(z|x,\theta)$,我们引入隐变量的一个分布$q(z)$,对这个两个式子做其与$q(z)$之间的KL散度,可以证明对数似然是这两个KL散度之差:
$$
KL(q(z)||p(z|x,\theta)) = \int q(z) [\log q(z) - \log p(z|x,\theta)] dz \
$$
$$
= \int q(z) [\log q(z) - \log p(x|z,\theta) - \log (z|\theta) + \log p(x|\theta)] dz \
$$
$$
= \int q(z) [\log q(z) - \log p(x|z,\theta) - \log (z|\theta)] dz + \log p(x|\theta) \
$$
$$
= \int q(z) [\log q(z) - \log p(x,z|\theta)] dz + \log p(x|\theta) \
$$
$$
= KL(q(z)||p(x,z|\theta)) + \log p(x|\theta) \
$$ - 也就是
$$
\log p(x|\theta) = - KL(q(z)||p(x,z|\theta)) + KL(q(z)||p(z|x,\theta))
$$ - 其中$- KL(q(z)||p(x,z|\theta))$就是ELBO,因为$ KL(q(z)||p(z|x,\theta)) \geq 0 $,因此ELBO是对数似然的下界。我们可以通过最大化这个下界来最大化对数似然
- 可以看到,ELBO有两个参数,$q$和$\theta$,首先我们固定$\theta {(t-1)}$,找到使ELBO最大化的$q{(t)}$,这一步实际上是EM算法的E步骤,接下来固定$q^{(t)}$,找到使ELBO最大化的$\theta ^{(t)}$,这一步对应的就是EM算法的M步骤
- 我们把$\theta = \theta ^{(t-1)}$带入ELBO的表达式:
$$
ELBO=\log p(x|\theta ^{(t-1)}) - KL(q(z)||p(z|x,\theta ^{(t-1)}))
$$ - q取什么值时ELBO最大?显然当KL散度为0时,ELBO取到最大值,也就是下界达到对数似然本身,这时$q(z)=p(z|x,\theta ^{(t-1)})$,接下来我们固定$q$,求使ELBO最大的$\theta$,先把ELBO的定义式改写:
$$
ELBO = - KL(q(z)||p(x,z|\theta)) \
$$
$$
= \int q^{(t)}(z) [ \log p(x,z|\theta) - \log q^{(t)}(z)] dz \
$$
$$
= - \int q^{(t)}(z) \log p(x,z|\theta) - q^{(t)}(z) \log q^{(t)}(z) dz \
$$ - 其中第二项与$\theta$无关,因此:
$$
\theta ^{(t)} = \mathop{argmax} _{\theta} \int q^{(t)}(z) \log p(x,z|\theta) dz \
$$ - 代入上一步得到的$q(z)=p(z|x,\theta ^{(t-1)})$,得到
$$
\theta ^{(t)} = \mathop{argmax} _{\theta} \int \log p(x,z|\theta)p(z|x,\theta ^{(t-1)}) dz
$$ - 同样得到了EM算法的迭代公式
- 下面两张图截取自Christopher M. Bishop的Pattern Recognition and Machine Learning,说明了E步骤和M步骤实际在做什么:E步骤将下界ELBO提高到对数似然,但是这时只更新了隐变量,因此对数似然没有变化,而当利用更新的隐变量更新参数$\theta$,也就是M步骤执行后,我们继续获得了更高的ELBO,以及其对应的对数似然,此时q没有变化,但p发生改变,因此KL不为0,对数似然一定大于ELBO,也就是会提升。直观的来说,我们在E和M步骤都提高了ELBO,E步骤先一口气将ELBO提满到对数似然,之后M步骤依然可以提高ELBO,但对数似然肯定会大于等于(在M步骤时实际上是大于)ELBO,因此对数似然就被M步骤提升的ELBO给“顶上去了”。
![i0oZfP.png]()
![i0ou6S.png]()
- 剩下的问题就是,如何选择z以及q,在混合模型中,可以将z作为示性函数引入,其他在设计时包含隐变量的概率模型里,可以直接将隐变量引入
¶从假设隐变量为可观察的角度
- 这种理解来自Chuong B Do & Serafim Batzoglou的tutorial:What is the expectation maximization algorithm?
- EM用于包含不可观察隐变量的概率模型推断,事实上,如果我们将隐变量从不可观察变为可观察,针对隐变量每一种可能的取值做最大似然估计,一样可以得到结果,但其时间代价是相当高的。
- EM则改进了这种朴素的算法。一种对EM算法的理解是:EM算法在每次迭代中先猜想一种隐变量的取值概率分布,创造一个考虑了所有隐变量取值可能的加权的训练集,然后在这上面做一个魔改版本的最大似然估计。
- 猜想一种隐变量的取值概率分布就是E步骤,但是我们不需要知道具体的概率分布,我们只需要求充分统计量在这个分布上的期望(Expectation)。
- 所以说EM算法是最大似然估计在包含隐变量的数据(或者说包含部分不可观察样本的数据)上的自然泛化。
¶从假设隐变量为缺失值的角度
- 一般如何处理缺失值?用随机值、平均值、0值、聚类中心值代替等等
- EM相当于用均值代替缺失值,也就是隐变量,但是利用了更多的信息:这个均值是在已知的x分布上求期望得到
- EM的迭代就是反复处理缺失值(隐变量),然后基于完整的数据再调整x的分布,再将隐变量看成缺失值进行调整
¶EM算法与K-means
- K-means是一种Hard-EM算法,它一样对隐变量的各种可能做出假设(样本属于的类),但是他并不是在类上计算概率和期望,而是比较Hard,只指定一个类作为样本的类,只有这个类概率为1,其余均为0。
¶隐变量引入的好处
- 其实应该反过来说,很多时候我们凭借逻辑设计了隐变量,然后利用EM算法推断隐变量,而不是刻意设计隐变量来简化运算。
- 对于GMM来说,引入隐变量的一个好处是化简了最大似然估计的计算(当然这是假设我们已知隐变量的情况下),将log与求和运算交换,参考了pluskid大神的博客:漫谈 Clustering (番外篇): Expectation Maximization
- 对于GMM,引入隐变量作为示性函数之前,最大似然估计是:
$$
\sum _{i=1}^N \log (\sum _{k=1}^K \pi _k N(x_i | \mu _k , \Sigma _k))
$$ - 引入隐变量之后,令第i个样本$x_i$对应的示性函数为$z_i$,这是一个k维one-hot向量,代表第i个样本属于k个高斯模型中哪一个,假设属于第m个模型,则$z_i^m$等于1,其余等于0。现在最大似然估计是:
$$
\log \prod _{i=1}^N p(x_i,z_i) \
$$
$$
= \log \prod _{i=1}^N p(z_i) \prod _{k=1}^K N(x_i | \mu _k , \Sigma _k){z_ik} \
$$
$$
= \log \prod _{i=1}^N \prod _{k=1}^K \pi _k {z_ik} \prod _{k=1}^K N(x_i | \mu _k , \Sigma _k){z_ik} \
$$
$$
= \log \prod _{i=1}^N \prod _{k=1}^K ( \pi _k N(x_i | \mu _k , \Sigma _k)) {z_ik} \
$$
$$
= \sum _{i=1}^N \sum _{k=1}^K z_i^k(\log \pi _k + \log N(x_i | \mu _k , \Sigma _k)) \
$$
¶在EM算法中应用蒙特卡罗方法
- 当E步骤无法解析的计算时,可以使用蒙特卡洛近似M步骤的积分:
$$
\theta ^{(t+1)} = \mathop{argmax} _{\theta} \int p(z|x,\theta ^{(t)}) \log p(x,z|\theta) dz
$$ - 我们根据现在得到的隐变量后验估计$p(z|x,\theta {(t)})$来采样有限个$Zl$,之后将这些$Z^l$代入$\log p(x,z|\theta)$来近似积分:
$$
\theta ^{(t+1)} = \mathop{argmax} {\theta} \approx \frac 1L \sum{l=1}^L \log p(x,Z^l|\theta)
$$ - 蒙特卡洛EM算法的一个极端的例子是随机EM算法,相当于每次迭代只在E步骤只采样一个样本点。在混合模型求解中,隐变量作为示性函数,只采样一个隐变量意味着hard assignment,每个样本点以1概率分配到某个component,
- 蒙特卡洛EM算法推广到贝叶斯框架,就得到IP算法
- I步骤:
$$
p(Z|X)=\int p(Z | \theta ,X)p(\theta | X)d\theta
$$
先从$p(\theta | X)$中采样$\theta ^l$,再将其代入,接着从$p(Z | \theta ^l ,X)$中采样$Z^l$。 - P步骤:
从I步骤采样得到的$Z^l$用于估计参数后验:
$$
p(\theta | X) = \int p(\theta | Z,X)p(Z|X) dZ \
\approx \frac 1L \sum _{l=1}^L p(\theta | Z^l,X) \
$$
- I步骤:
¶广义EM算法
- 不会鸽
¶Wake-Sleep算法
- 鸽德哲学
¶广义EM算法与吉布斯采样
- 当你认为我不会鸽的时候鸽了,亦是一种不鸽
Variational Inference
¶ELBO
- 接下来介绍变分推断,可以看到,EM算法可以推广到变分推断
- 重新推出ELBO与对数似然的关系:
$$
\log p(x) = \log p(x,z) - \log p(z|x) \
= \log \frac{p(x,z)}{q(z)} - \log \frac{p(z|x)}{q(z)} \
= \log p(x,z) - \log q(z) - \log \frac{p(z|x)}{q(z)} \
$$ - 两边对隐分布$q(z)$求期望
$$
\log p(x) = \
[ \int _z q(z) \log p(x,z)dz - \int _z q(z) \log q(z)dz ] + [- \int _z \log \frac{p(z|x)}{q(z)} q(z) dz ]\
= ELBO+KL(q||p(z|x)) \
$$ - 我们希望推断隐变量$z$的后验分布$p(z|x)$,为此我们引入一个分布$q(z)$来近似这个后验。当目前观测量也就是对数似然确定的前提下,近似后验等价于使得$q(z)$和$p(z|x)$的KL散度最小,由上式可以看出,当ELBO最大时,KL散度最小。
- 接下来就是讨论如何使得ELBO最大化
¶任意分布上的变分推断
- 对任意分布使用,一次选取隐变量一个分量更新,比如第j个分量
- 我们自己选取的$q(z)$当然要比近似的分布简单,这里假设分布是独立的,隐变量是$M$维的:
$$
q(z)=\prod _{i=1}^M q_i(z_i)
$$ - 因此ELBO可以写成两部分
$$
ELBO=\int \prod q_i(z_i) \log p(x,z) dz - \int \prod q_j(z_j) \sum \log q_j(z_j) dz \
=part1-part2 \
$$ - 其中part1可以写成对隐变量各个维度求多重积分的形式,我们挑出第j个维度将其改写成
$$
part1=\int \prod q_i(z_i) \log p(x,z) dz \
$$
$$
= \int _{z_1} \int _{z_2} … \int _{z_M} \prod _{i=1}^M q_i(z_i) \log p(x,z) d z_1 , d z_2 , … ,d z_M \
$$
$$
= \int _{z_j} q_j(z_j) ( \int {z{i \neq j}} \log (p(x,z)) \prod {z{i \neq j}} q_i(z_i) d z_i) d z_j \
$$
$$
= \int {z_j} q_j(z_j) [E{i \neq j} [\log (p(x,z))]] d z_j \
$$ - 在此我们定义一种伪分布的形式,一种分布的伪分布就是对其对数求积分再求指数:
$$
p_j(z_j) = \int _{i \neq j} p(z_1,…,z_i) d z_1 , d z_2 ,…, d z_i \
$$
$$
p_j^{‘}(z_j) = exp \int _{i \neq j} \log p(z_1,…,z_i) d z_1 , d z_2 ,…, d z_i \
$$
$$
\log p_j^{’}(z_j) = \int _{i \neq j} \log p(z_1,…,z_i) d z_1 , d z_2 ,…, d z_i \
$$ - 这样part1用伪分布的形式可以改写成
$$
part1= \int _{z_j} q_j(z_j) \log p_j^{'}(x,z_j) \
$$ - part2中因为隐变量各个分量独立,可以把函数的和在联合分布上的期望改写成各个函数在边缘分布上的期望的和,在这些和中我们关注第j个变量,其余看成常量:
$$
part2=\int \prod q_j(z_j) \sum \log q_j(z_j) dz \
$$
$$
= \sum ( \int q_i(z_i) \log (q_i(z_i)) d z_i ) \
$$
$$
= \int q_j(z_j) \log (q_j(z_j)) d z_j + const \
$$ - 再把part1和part2合起来,得到ELBO关于分量j的形式:
$$
ELBO = \int _{z_j} \log \log p_j^{‘}(x,z_j) - \int q_j(z_j) \log (q_j(z_j)) d z_j + const \
$$
$$
= \int _{z_j} q_j(z_j) \log \frac{p_j^{’}(x,z_j)}{q_j(z_j)} + const \
$$
$$
= - KL(p_j^{'}(x,z_j) || q_j(z_j)) + const\
$$ - 也就是将ELBO写成了伪分布和近似分布之间的负KL散度,最大化ELBO就是最小化这个KL散度
- 何时这个KL散度最小?也就是:
$$
q_j(z_j) = p_j^{'}(x,z_j) \
\log q_j(z_j) = E_{i \neq j} [\log (p(x,z))] \
$$ - 到此我们就得到了变分推断下对于隐变量单一分量的近似分布迭代公式,在计算第j个分量的概率时,用到了$\log (p(x,z))$在其他所有分量$q_i(z_i)$上的期望,之后这个新的第j个分量的概率就参与下一次迭代,计算出其他分量的概率。
¶指数家族分布
- 定义指数家族分布:
$$
p(x | \theta)=h(x) exp(\eta (\theta) \cdot T(x)-A(\theta)) \
$$ - 其中
- $T(x)$:sufficient statistics
- $\theta$:parameter of the family
- $\eta$:natural parameter
- $h(x)$:underlying measure
- $A(\theta)$:log normalizer / partition function
- 注意parameter of the family和natural parameter都是向量,当指数家族分布处于标量化参数形式,即$\eta _i (\theta) = \theta _i$的时候,指数家族分布可以写成:
$$
p(x | \eta)=h(x) exp(\eta (T(x) ^T \eta - A(\eta))
$$ - 当我们把概率密度函数写成指数家族形式,求最大对数似然时,有:
$$
\eta = \mathop{argmax} _ {\eta} [\log p(X | \eta)] \
$$
$$
= \mathop{argmax} _ {\eta} [\log \prod p(x_i | \eta)] \
$$
$$
= \mathop{argmax} _ {\eta} [\log [\prod h(x_i) exp [(\sum T(x_i))^T \eta - n A(\eta)]]] \
$$
$$
= \mathop{argmax} _ {\eta} (\sum T(x_i))^T \eta - n A(\eta)] \
$$
$$
= \mathop{argmax} _ {\eta} L(\eta) \
$$ - 继续求极值,我们就可以得到指数家族分布关于log normalizer和sufficient statistics的很重要的一个性质:
$$
\frac{\partial L (\eta)}{\partial \eta} = \sum T(x_i) - n A^{‘}(\eta) =0 \
$$
$$
A^{’}(\eta) = \sum \frac{T(x_i)}{n} \
$$ - 举个例子,高斯分布写成指数家族分布形式:
$$
p(x) = exp[- \frac{1}{2 \sigma 2}x2 + \frac{\mu}{\sigma ^2}x - \frac{\mu ^2}{2 \sigma ^2} - \frac 12 \log(2 \pi \sigma ^2)] \
$$
$$
=exp ( [x \ x^2] [\frac{\mu}{\sigma ^2} \ \frac{-1}{2 \sigma ^2}] ^T - \frac{\mu ^2}{2 \sigma ^2} - \frac 12 \log(2 \pi \sigma ^2) )
$$ - 用自然参数去替代方差和均值,写成指数家族分布形式:
$$
p(x) = exp( [x \ x^2] [ \eta _1 \ \eta _2] ^T + \frac{\eta _1 ^2}{4 \eta _2} + \frac 12 \log (-2 \eta _2 ) - \frac 12 \log (2 \pi))
$$ - 其中:
- $T(x)$:$[x \ x^2]$
- $\eta$:$[ \eta _1 \ \eta _2] ^T$
- $-A(\eta)$:$\frac{\eta _1 ^2}{4 \eta _2} + \frac 12 \log (-2 \eta _2 )$
- 接下来我们利用指数家族的性质来快速计算均值和方差
$$
A^{'}(\eta) = \sum \frac{T(x_i)}{n} \
$$
$$
[\frac{\partial A}{\eta _1} \ \frac{\partial A}{\eta _2}] = [\frac{- \eta _1}{2 \eta _2} \ \frac{\eta _1 ^2 }{2 \eta _2}-\frac{1}{2 \eta _2}] \
$$
$$
= [\frac{\sum x_i}{n} \ \frac{\sum x_i^2}{n}] \
$$
$$
= [\mu \ \mu ^2 + \sigma ^2] \
$$ - 为什么$A(\eta)$叫做log normalizer?因为把概率密度的指数族分布积分有:
$$
\int _x \frac{h(x)exp(T(x)^T \eta)}{exp(A(\eta))} = 1 \
$$
$$
A(\eta) = \log \int _x h(x)exp(T(x)^T \eta) \
$$ - 下面讨论指数族分布的共轭关系,假设似然和先验均是指数族分布:
$$
p(\beta | x) ∝ p(x | \beta) p(\beta) \
$$
$$
∝ h(x) exp(T(x) \beta ^T - A_l (\beta)) h(\beta) exp(T(\beta) \alpha ^T - A(\alpha)) \
$$ - 用向量组的方式改写:
$$
T(\beta) = [\beta \ -g(\beta)] \
$$
$$
\alpha = [\alpha _1 \ \alpha _2] \
$$ - 原式中关于$\beta$,$h(x)$和$A(\alpha)$都是常数,从正比式中消去,带入向量组有:
$$
∝ h(\beta) exp(T(x) \beta - A_l(\beta) + \alpha _1 \beta - \alpha _2 g(\beta)) \
$$ - 我们注意到,如果令$-g(\beta)=-A_l (\beta)$,原式就可以写成:
$$
∝ h(\beta) exp((T(x)+\alpha _1)\beta - (1+\alpha _2) A_l (\beta)) \
$$
$$
∝ h(\beta) exp(\alpha _1 ^{‘} \beta - \alpha _2 ^{’} A_l (\beta)) \
$$ - 这样先验和后验形式一致,也就是共轭
- 这样我们用统一的形式写下似然和先验
$$
p(\beta | x, \alpha) ∝ p(x | \beta) p(\beta | \alpha) \
$$
$$
∝ h(x)exp[T(x)^T\beta - A_l(\beta)] h(\beta) exp[T(\beta)^T\alpha - A_l(\alpha)] \
$$ - 这里我们可以计算log normalizer关于参数求导的结果,注意,这是计算得到,不同于之前求指数族分布的最大似然估计得到的关于log normalizer和sufficient statistics的性质:
$$
\frac{\partial A_l(\beta)}{\partial \beta}=\int x T(x) p(x | \beta)dx \
$$
$$
= E{p(x|\beta)} [T(x)] \
$$ - 上式可以通过指数族分布积分为1,积分对$\beta$求导为0,将这个等式变换证明。
¶指数族分布下的变分推断
- 接下来我们将ELBO中的参数后验写成指数族分布形式,可以看到最后的迭代公式相当简洁
- 我们假定要优化的参数有两个,x和z,我们用$\lambda$和$\phi$来近似$\eta(z,x)$和$\eta(\beta ,x)$,依然是要使ELBO最大,这时调整的参数是$q(\lambda , \phi)$,实际上是$\lambda$和$\phi$
- 我们采用固定一个参数,优化另一个参数的方法,相互迭代使得ELBO变大
- 首先我们改写ELBO,注意$q(z,\beta)=q(z)q(\beta)$:
$$
ELBO=E_{q(z,\beta)}[\log p(x,z,\beta)] - E_{q(z,\beta)}[\log p(z,\beta)] \
$$
$$
= E_{q(z,\beta)}[\log p(\beta | x,z) + \log p(z | x) + \log p(x)] - E_{q(z,\beta)}[\log q(\beta)] - E_{q(z,\beta)}[\log q(z)] \
$$ - 其中后验为指数家族分布,且q分布用简单的参数$\lambda$和$\phi$去近似:
$$
p(\beta | x,z) = h(\beta) exp [ T(\beta) ^T \eta (z,x) - A_g (\eta(z,x))] \
$$
$$
\approx q(\beta | \lambda) \
$$
$$
= h(\beta) exp [ T(\beta) ^T \eta (\lambda - A_g (\eta(\lambda))] \
$$
$$
p(z | x,\beta) = h(z) exp [ T(z) ^T \eta (\beta,x) - A_l (\eta(\beta,x))] \
$$
$$
\approx q(\beta | \phi) \
$$
$$
= h(z) exp [ T(z) ^T \eta (\phi - A_l (\eta(\phi))] \
$$ - 现在我们固定$\phi$,优化$\lambda$,将ELBO中无关常量除去,有:
$$
ELBO_{\lambda} = E_{q(z,\beta)}[\log p(\beta | x,z)] - E_{q(z,\beta)}[\log q(\beta)] \
$$ - 代入指数家族分布,消去无关常量$- E_{q(z)}[A_g(\eta(x,z))]$,化简得到:
$$
ELBO_{\lambda} = E_{q(\beta)}[T(\beta)^T] E_{q(z)}[\eta(z,x)] -E_{q(\beta)} [T(\beta)^T \lambda] + A_g(\lambda)
$$ - 利用之前log normalizer关于参数求导的结论,有:
$$
ELBO_{\lambda} = A_g{'}(\lambda)T[E_{q(z)}[\eta(z,x)]] - \lambda A_g^{'}(\lambda) ^T + A_g (\lambda)
$$ - 对上式求导,令其为0,有:
$$
A_g{‘’}(\lambda)T[E_{q(z)}[\eta(z,x)]] - A_g^{‘}(\lambda)-\lambda A_g^{’'}(\lambda) ^T + A_g^{} (\lambda) = 0 \
\lambda = E_{q(z)}[\eta(z,x)] \
$$ - 我们就得到了$\lambda$的迭代式!同理可以得到:
$$
\phi = E_{q(\beta)}[\eta(\beta,x)] \
$$ - 写完整应该是:
$$
\lambda = E_{q(z | \phi)}[\eta(z,x)] \
\phi = E_{q(\beta | \lambda)}[\eta(\beta,x)] \
$$ - 观察这两个迭代式,变量更新的路径是:
$$
\lambda \rightarrow q(\beta | \lambda) \rightarrow \phi \rightarrow q(z | \phi) \rightarrow \lambda
$$





